2026年3月26日
- 調査・研究
© 2020 SASAKAWA SPORTS FOUNDATION
© 2020 SASAKAWA SPORTS FOUNDATION
Mission&Visionの達成に向けさまざまな研究調査活動を行います。客観的な分析・研究に基づく実現性のある政策提言につなげています。
自治体・スポーツ組織・企業・教育機関等と連携し、スポーツ推進計画の策定やスポーツ振興、地域課題の解決につながる取り組みを共同で実践しています。
「スポーツ・フォー・オール」の理念を共有する国際機関や日本国外の組織との連携、国際会議での研究成果の発表などを行います。また、諸外国のスポーツ政策の比較、研究、情報収集に積極的に取り組んでいます。
日本のスポーツ政策についての論考、部活動やこどもの運動実施率などのスポーツ界の諸問題に関するコラム、スポーツ史に残る貴重な証言など、様々な読み物コンテンツを作成し、スポーツの果たすべき役割を考察しています。
2026年3月26日

運動・スポーツの実施場所といえばグラウンドや体育館、フィットネスクラブなどのスポーツ施設が最初にイメージされる方が多いだろう。しかし笹川スポーツ財団が全国の18歳以上の男女3,000名を対象に実施している「スポーツライフに関する調査」の2024年調査によれば、運動・スポーツを年1回以上行った者のうち最も実施している場所は「道路」52.9%、次いで「自宅」28.8%である。
フィットネスクラブをはじめとする施設での運動は、運動前後にその場所までの移動が必要である一方で、自宅での運動・スポーツ(以下、自宅運動)では移動の必要がないため、その場ですぐに実施できる。また自宅運動は、天候や気候による影響をほとんど受けずに実施することができる。例えば、熱中症予防の観点から、気温が高い日には運動を原則中止するように呼びかけられており、屋外等での運動が制限されることもある。そのような中でも、自宅運動は室内の温度調整が比較的容易であり、暑さや寒さの影響を軽減して運動を行うことが可能である。このように、自宅運動は、運動施設や屋外での運動と比較して運動実施を阻害する要因が少ないことから、自宅運動を推進することで運動・スポーツ実施率の向上に寄与することが期待できる。
前述のように自宅運動の推進は運動・スポーツ実施率の向上に貢献すると考えられるが、これまでに自宅運動の実施頻度、1回あたりの実施時間、種目などを体系的に集計したデータはない。そこで本稿では、自宅運動の推進に必要となる基礎資料を得るために、性・年代別に自宅運動実施状況(実施頻度、1回あたりの実施時間、種目)を報告する。
「スポーツライフに関する調査」では、過去1年間に行った運動・スポーツ種目について、実施回数の多いものから順に最大5種目まで、その実施状況の詳細(1年間の実施回数、1日の平均実施時間、実施強度、主に誰と実施したか、主に平日と休日のどちらに実施したか、実施施設・場所、主な利用施設のタイプ)を把握している。本稿ではこれらの回答を用いて、過去1年間に1回以上自宅で運動・スポーツを実施した者602名を分析対象とした。自宅運動実施状況として「種目」「年間の実施回数」「1回あたりの実施時間」を使用した。なお、自宅で複数種目を実施していた場合はそれらの実施回数を合算し、自宅運動の実施頻度とした。また、各種目の実施時間を平均したものを自宅運動1回あたりの実施時間とした。
図1に、自宅運動の実施頻度を性・年代別に示した。年1回以上の自宅運動を行っている者のうち、62.5%が年104回以上(週2回以上)自宅運動を実施していた。特に、65歳以上では男女ともに8割を超える者が週2回以上の自宅運動を実施していた。年52~103回(週1~2回未満)自宅運動を実施している者は全体の14.3%であり、週2回以上実施者と合わせて全体の76.8%の者が週1回以上自宅運動を実施していることが明らかになった。
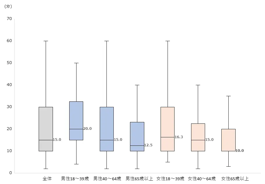
図2に、自宅運動1回あたりの実施時間を性・年代別に示した。全体の実施時間の中央値は15.0分であった。若年層でより1回あたりの実施時間が長い傾向がみられたものの、全体的におよそ10~20分程度での実施が多かった。
● 男性18~39歳の実施時間が、男性40~64歳(p=0.040)、男性65歳以上(p<0.001)、女性40~64歳(p<0.001)、女性65歳以上(p<0.001)よりも有意に長い。
● 女性18~39歳の実施時間が、女性65歳以上(p=0.008)よりも有意に長い。
・Kruskal-Wallis検定を実施し、事後検定にはMann-WhitneyのU検定を用いた。
・統計的有意水準は0.05とし、事後検定には多重比較を考慮してHolm法による補正を適用した。
資料:笹川スポーツ財団「スポーツライフに関する調査」2024
自宅運動で最も多く行われている種目は「体操(軽い体操、ラジオ体操など)」であった。全体の50.3%の者が実施しており、女性65歳以上では88.8%と9割近くの者が実施していた。次に多く行われていた種目が「筋力トレーニング」であった。全体の39.2%の者が実施しており、男性18~39歳では83.8%が実施していた。図3には、各種目の性・年代別の実施率を示した。
本稿では、性・年代別の自宅運動の実施状況(実施頻度、1回あたりの実施時間、実施種目)を集計した。年1回以上の自宅運動を行っている者のうち、60%以上が週2回以上自宅運動を実施していた。1回あたりの実施時間はおよそ10~20分程度であった。また、自宅運動の種目としては「体操(軽い体操、ラジオ体操など)」と「筋力トレーニング」が多く行われていた。
1回あたりの実施時間が10分程度と日常生活に取り入れやすい範囲であることや、実施種目も筋力トレーニングや体操などの特別な器具を必要としない種目であることから、自宅運動に取り組む者の週2日以上の実施割合が多かったと考えられる。これらを踏まえると、自宅運動推進のメリットは、「日常生活の延長戦上で実施しやすい」点にあると推察される。
また前述のように、年1回以上の自宅運動を行っている者の半数以上は、週2回以上の自宅運動を行っていた。このことから、運動・スポーツの場として「自宅」という選択肢を持つ者は、運動を習慣化しやすい可能性があると考えられる。自宅が運動の場の選択肢として組み込まれることで、最初は低頻度であっても、徐々に週2回以上の運動・スポーツ実施へと発展することが期待できる。
自宅運動の推進にあたっては、日常生活に無理なく取り入れることができる気軽な運動プログラムの開発および普及が重要になると考えられる。さらに、自宅運動は多くの場合で指導者が不在であるという特性もあることから、自宅運動をより安全で効果的なものにするためには、今後も自宅運動について検討を重ねるとともに、専門家による質の高い情報発信やプログラム提供を充実させていくことが求められる。
最新の調査をはじめ、過去のスポーツライフ・データのローデータ(クロス集計結果を含む)を提供しています。
活用例
スポーツライフ・データ
2025年度